登录  | 立即注册

游客您好!登录后享受更多精彩

查看: 4442|回复: 0

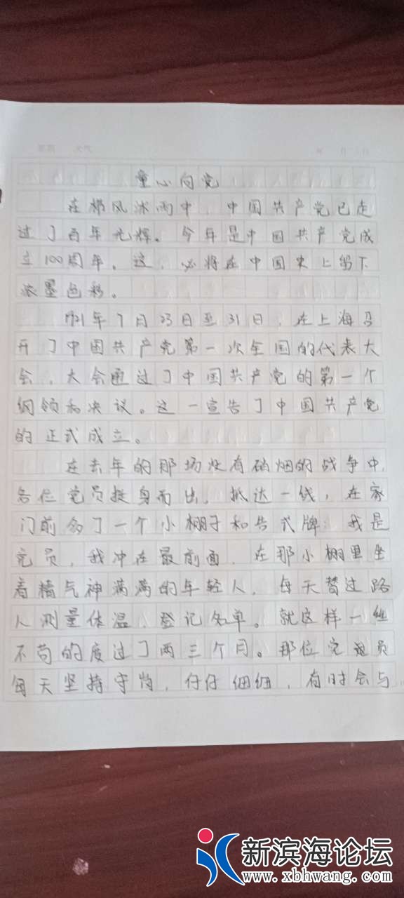
童心向党

[复制链接]

5

主题

2

回帖

604

积分

县丞

积分
604
发表于 2021-5-30 16:32 来自手机 | 显示全部楼层 |阅读模式 | 来自江苏
童心向党
front2_0_FtRQCL097wlXDRM571nybxRS0iN7.1622363533.jpg
front2_0_FoqHd__rqVm3tm5bsoY-xfIdJyIS.1622363533.jpg
回复

使用道具 举报

您需要登录后才可以回帖 登录 | 立即注册

本版积分规则

Powered by Discuz! X3.5

Copyright © 2001-2020, Tencent Cloud.

快速回复 返回顶部 返回列表